Di post sebelumnya, kita sudah belajar mengenai apa itu sinyal, dan bagaimana cara kerja filter. Sekarang, mari kita mencoba membuat Butterworth Low Pass Filter!
![]() |
| Ilustrasi sinyal. Image taken from http://www.signalmedia.net/ |
Apa itu Butterworth Low Pass Filter?
Menurut jenisnya, filter dapat dibedakan menjadi beberapa jenis, yaitu Bessel, Butterworth, Chebyshev, Eliptik (Cauer), Gaussian, Optimum "L" (Legendre), dan Linkwitz-Riley. (See: Wikipedia, Electronic Filter)
Butterworth Filter adalah salah satu jenis signal processing yang dirancang untuk menghasilkan frekuensi respon yang sedatar mungkin pada passband. Jenis filter ini pertama kali diperkenalkan pada 1930 oleh fisikawan Inggris Stephen Butterworth, dalam paper yang berjudul "On the Theory of Filter Amplifiers". (See: Wikipedia, Butterworth Filter)
Perancangan Sistem
Butterworth filter merupakan satu jenis filter analog yang cukup mudah untuk dibuat, dan tidak memerlukan terlalu banyak komponen.Dalam pembuatan Butterworth LPF ini, perancangan
alat meliputi pembuatan skematik sirkuit di papan PCB dan pemasangan
komponen-komponen filter.
Low pass filter merupakan filter yang akan
meloloskan frekuensi yang berada di bawah frekuensi cutoff, dan meredan
frekuensi di atasnya. LPF Butterworth merupakan salah satu jenis filter yang
dapat menghasilkan passband yang rata, sehingga seting digunakan sebagai filter anti aliasing.
Karakteristik Filter Butterworth:
- Karakteristik transmisi menurun secara
monoton
-
Semua zero transmisi berharga tak hingga (ω
= ∞)
-
All pole filter
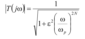
Fungsi Butterworth
Filter Butterworth orde-N dengan ujung
passband ωp :
pada ω= ωp :
Parameter Filter Butterworth
Parameter menentukan variasi maksimum di
daerah transmisi passband, sehingga
Deviasi maksimum di daerah passband terjadi pada ujung passband => turunan
fungsi Butterworth bernilai nol untuk ω = 0
Karakteristik Respon
- Respon filter Butterworth hampir rata
(flat) untuk frekuensi dekat 0 dan menghasilkan bentuk respon maximally-flat
- Tingkat kerataan di daerah passband
berbanding lurus dengan orde filter
- Jika orde filter N semakin tinggi, maka
respon filter semakin mendekati karakteristik idealnya (brick-wall type)
- Di ujung stopband , redaman filter
Butterworth adalah:
Rangkaian dasar dan respon frekuensi Butterworth LPF adalah
sebagai berikut:
Untuk mencapai spesifikasi tertentu,
maka dibutuhkan orde LPF yang lebih tinggi. Misalnya untuk orde ketiga,
perhitungannya sama dengan perhitungan orde kedua, hanya saja a2 dan
b2 digantikan oleh a3 dan b3, yang mana akan
merubah nilai resistor dan kapasitor yang digunakan.
C1
ditentukan 330pF, dan C2 dihitung dengan:
Dengan
C1= 330pF dan C2=4.7 nF, maka nilai R1 dan R2 adalah:
·
R1= 1.45 kΩ,
dengan nilai 1% terdekat 1.47 kΩ
·
R2= 4.51 kΩ,
dengan nilai 1% terdekat 4.53 kΩ
Skema Rancangan Sistem
Gambar di bawah ini adalah skema rangkaian Butterworth
Low Pass Filter yang akan dibuat, dengan frekuensi cutoff 50 Hz.
![]() |
Gambar: Rangkaian Butterworth LPF orde kelima
|
Prinsip Kerja Sistem
Low pass
filter adalah filter yang
meloloskan sinyal dengan frekuensi yang lebih rendah daripada frekuensi
cutoffyang telah ditentukan, dan meredam sinyal yang frekuensinya lebih tinggi
daripada frekuensi cutoff.
Seperti yang ditunjukkan oleh gambar respon frekuensi, apabila
grafik sinyal melebihi garis horizontal ke arah kanan dan garis diagonal
(asimptot fungsi), maka sinyal tersebut akan berpotongan di frekuensi cutoff. Butterworth
LPF menghasilkan kerataan pass band
yang maksimal. Semakin tinggi spesifikasi
yang ingin dicapai, maka dibutuhkan orde LPF yang lebih tinggi.
Pembuatan Filter
Alat dan bahan yang diperlukan:
- 3 buah IC Op Amp
- Resistor 3.16K, 1.87K, 4.42K, 1.47K, 4.53K (dapat digunakan yang nilainya mendekati)
- Kapasitor 1nF, 1.5nF, 4.7nF, 820pF, 330pF (dapat digunakan yang nilainya mendekati)
- PCB
- Larutan FeCl3
- Spacer
- Bor
Rangkaian filter analog dibuat dengan menggunakan Printed Circuit Board (PCB). Proses
pembuatannya adalah dengan mencetak papan dengan skematik rangkaian seperti
pada gambar di atas, kemudian dilakukan etching dengan larutan FeCl3.
Setelah
di-etching, PCB dapat dibor dan dipasangkan komponen, seperti IC, resistor dan
kapasitor. Berikut ini adalah filter yang sudah jadi:
Pengujian Sistem
Mengapa alat perlu diuji? Tentu saja untuk mengetahui apakah alat yang telah
dirancang telah berfungsi dan menghasilkan keluaran yang sesuai dengan yang
diharapkan. Jadi, pengujian ini dilakukan untuk mengetahui frekuensi, amplitudo, dan
bentuk sinyal yang merupakan keluaran dari tiap blok rangkaian. (Ujicoba dilakukan di Lab Elektro STMKG Jakarta)
Peralatan
yang dibutuhkan dalam pengujian sistem antara lain Power Supply, Function
Generator, Osiloskop Digital, dan multimeter. Perangkat dirangkai seperti pada gambar berikut:
Pada pengujian blok Low Pass Filter, alat yang digunakan adalah Function Generator sebagai asumsi input dan osiloskop digital. Function Generator berfungsi sebagai asumsi input LPF, dan osiloskop sebagai alat bantu untuk mengamati output yang terjadi pada saat sinyal input diubah-ubah.
Dalam proses
pengujian, rangkaian filter dihubungkan dengan power supply, function generator
dan osiloskop. Dari gambar 4.1, kanal 2 diasumsikan sebagai input (1 Vpp), dan
kanal 1 sebagai output. Kemudian dilakukan pengambilan data sebagai sampel, yang
bertujuan agar data tersebut dapat dibuat grafik respon frekuensi dari Low Pass
Filter.
Hasil Pengujian
Nah, setelah dilakukan beberapa kali pembacaan dengan beberapa set point (50 Hz, 100 Hz, 200 Hz dan 300 Hz), hasil pengujian keluaran dari Low Pass Filter yang telah dirancang bisa dilihat di tabel berikut ini:
Dari data hasil pengukuran di atas, maka
didapatkan respon frekuensi seperti di bawah ini:
Yap, setelah mengamati bentuk respon frekuensi
dan gambar dari pengukuran LPF pada gambar di atas, maka dapat kita ketahui
bahwa apabila frekuensi input filter melebihi frekuensi cut off yaitu 50Hz, maka frekuensi keluaran output akan tetap yaitu
sebesar 50 Hz. Hal ini membuktikan bahwa filter yang
dihasilkan sudah sesuai dengan yang dirancang, karena berdasarkan hasil uji
coba, batas frekuensi sudah berada tepat pada frekuensi cut off.
Selamat mencoba, semoga bermanfaat.
[ Sumber data dan gambar: Tugas kelompok Instrumentasi Semester VI oleh Moch Toat, Joko Cahyono, Khafid Dwicahyo dan Arum Puspitasari. ]
























7 Komentar
jika untuk high pass filter apakah sama saja ? hanya berbeda pada penentuan RC nya ?
BalasHapusHalo, Megallanic
BalasHapushigh pass filter dan low pass filter rangkaiannya berbeda. Penentuan nilai R dan C berpengaruh di frekuensi cutoff.
APa ada kontak yg bisa d hubungi agar enak untuk diskusi ? Saya mau coba buat untuk high pass filter butterworth fc 1hz, saya agak kurang refferensi how to make nya
BalasHapusButuh perhitungan penentuan komponen r & c nya
BalasHapusop amp brp yg digunakan
BalasHapusGood Article. Nice work!
BalasHapusnice info makasih kak
BalasHapusberita terkini